Расклад, при котором независимо от результата вы в любом случае случае остаетесь в выигрыше, называется вилкой. Вилка является рабочей, когда имеется соответствующее расхождение в коэффициентах. Такая ситуация возникает, когда букмекерские конторы расходятся в оценке участников матча.
Как рассчитать вилку
Для этого нужно перевести коэффициенты в вероятность в процентном соотношении. В обычной линии суммарная вероятность составляет больше 100%, в зависимости от размера маржи. Когда сумма меньше 100% - это вилка. Чем ниже процент, тем больше прибыль. Исходы ставок, образующих вилку, называется «плечо».
Рассмотрим на примере:
Возьмем матч Арсенал – Тоттенхэм, рынок тотал 2,5. У двух БК выставлены следующие коэффициенты:
| Тотал больше 2,5 (ТБ2,5) | Букмекер | Тотал меньше 2,5 (ТМ2,5) |
| 1,25 | БК1 | 3,90 |
| 1,43 | БК2 | 2,85 |
Для расчета процента прибыли вилки, нужно взять максимальный коэффициент на каждый исход:
(1/1,43 + 1/3,90)*100= (0,699+0,256)*100 = 95,5%
Таким образом, ставка на ТБ2,5 в БК2 и ставка на ТМ2,5 в БК1, обеспечивает вилку на 4,5%.
Расчет размера ставок
Расчет размера ставки зависит от того, какую прибыль вы планируете получить:
- одинаковую и небольшую при любом исходе матча;
- максимальную на исход, в котором уверены.
Классическое распределение суммы ставок
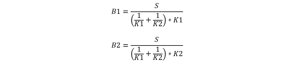
Для получения одинаковой прибыли формула расчета размера ставки выглядит так:

Где B1 – размер первой ставки, В2 – размер второй ставки, S – общая сумма, поставленная на два исхода, К1 – коэффициент первого исхода, К2 – коэффициент второго исхода.
Вернемся к примеру, описанному выше. К примеру, ваш банк на данную вилку составляет 1000 руб. Мы вычислили ранее значение вилки – 95,5%. Теперь последовательно считаем размеры ставок на оба исхода:
Вы можете использовать калькулятор вилок, либо рассчитывать размер ставок самостоятельно.
Вернемся к примеру, описанному выше. К примеру, ваш банк на данную вилку составляет 1000 руб. Мы вычислили ранее значение вилки – 95,5%. Теперь последовательно считаем размеры ставок на оба исхода:

Получаем B1=732,6 руб., B2=268,5 руб.
При таком распределении суммы ставок, при любом исходе матча получится одинаковая прибыль:
732,6*1,43 = 1047,6 - 1000 = 47,6
268,5*3,90 = 1047,15 – 1000 = 47,15
Распределение ставок с центровкой на один из исходов
Также можно распределить ставки так, что при исходе, в котором вы уверены больше, вы получите максимальную прибыль, а при противоположном исходе выйдете в ноль.
Расчет суммы ставки здесь проще. Делим общую сумму, выделенную на матч, на коэффициент исхода, в котором вы уверены меньше. Рассмотрим для примера котировки из вышеприведенного примера: 1000/1,43= 699,3. Это будет ваша сумма вашей первой ставки. Далее из общей суммы вычитаем первую ставку: 1000-699,3= 300,7.
Такое распределение ставок позволит вам получить максимальную прибыль, если сыграет ставка ТМ2,5:
300,7*3,90 = 1172,73 – 1000 = 1172,3
Если же в матче будет больше трех голов, то вы просто останетесь при своих:
699,3*3,90 = 999,9
Риски букмекерских вилок
Несмотря на то, что вилки являются беспроигрышным вариантом ставок, существуют минусы и риски такой стратегии ставок:
- придется регистрироваться в большом количестве букмекерских контор, в каждой из которых имеется специфика правил;
- для ощутимой прибыли нужные большие вложения;
- чтобы поймать вилку нужно провести за поиском много времени, либо использовать сервисы по поиску вилок;
- ограничения лимитов ставок. На непопулярные лиги, где чаще всего встречаются вилки, лимиты небольшие;
- слишком большое разнообразие разношерстных событий из непопулярных событий может заставить букмекера подумать, что вы "вилочник" и как следствие предпринять меры в отношении вашего аккаунта.
- быстрая корректировка коэффициентов. Вы можете не успеть проставить все «плечи» вилки (пока оформляли ставку на один исход, на другой уже изменился коэффициент и вилка пропала)

